برداشت های من از جهان پیرامون

بایگانی
آخرین نظرات

به دلیل گرمای هوا امروز پنج شنبه قم رو تعطیل اعلام کردن.

اما مسئله اینه که چند روز پیش که دما به 47 درجه رسید شهر رو تعطیل نکردن ولی حالا که دما حول و حوش 40 درجه است و گرد وخاک هم خیلی بیشتر از حد نرمال نیست تعطیل کردن. من فکر میکنم ملاک تعطیلی دما و اینها نیست طرف هر موقع خوشش میاد تعطیل میکنه و هر موقع خوشش نمیاد تعطیل نمیکنه

سوال پایین رو تا به حال چندین نفر به انحا مختلف ازم پرسیدن، من صورت مسئله رو از وبلاگ حب الحسین اجننی اینجا میزارم:

تقسیم 17 شتر
شخصی در حال مرگ بود و قبل از مرگش او وصیت کرد: من 17 شتر و 3 فرزند دارم
شتران مرا طوری تقسیم کنید که بزرگترین فرزندم نصف انها را و فرزند دومم یک سوم انها را و فرزند کوچکم یک نهم مجموع شتران را به ارث ببرند

وقتی که بستگانش بعد از مرگ او این وصیت نامه را مطالعه کردند متحیر شدند و به یکدیگر گفتند ما چطور می توانیم این 17 شتر را به این ترتیب تقسیم کنیم؟
و بعد از فکر کردن زیاد به این نتیجه رسیدند که تنها یک مرد در عربستان می تواند به انها کمک کند
بنابراین انها به نزد امام علی رفتند تا مشکل خود را مطرح کنند
حضرت فرمود: رضایت میدهید که من شترم را با شتران شما اضافه کنم آنگاه تقسیم بنمایم. گفتند: چگونه رضایت نمی دهیم. پس شتر خویش را به شتران اضافه نمود و به فرزند بزرگ که سهمش نصف شتران بود، نه شتر داد. به فرزند دوم که سهمش ثلث شتران بود، شش شتر داد و به فرزند سوم که سهم او یک نهم بود، دو شتر داد و در اخر یک شتر باقی ماند که همان شتر حضرت بود.
 تو همین وبلاگ یه سوال دیگه هست به این صورت:

تقسیم ارث
زمانی امام روی منبر مشغول ایراد خطبه بود که فردی سخنرانی او را قطع کرد و از او تقاضا کرد که چطور میتوان ارث شخصی که فوت کرده را بین همسرش و دو پدر و مادر و دو دخترش تقسیم کند؟
امام فورا پاسخ داد :
سهم همسر می شود یک نهم
اما چطور؟
پاسخ در واقع حاصل یک انالیز طولانی است و سعی می کنیم قدم به قدم پیش بریم
ما باید سهم اصلی هر یک از وارثان را را به این ترتیب بررسی کنیم
همسر در زمان زنده بودن اولاد 1 هشتم را به ارث می برد [see Quran 4:12]
پدر و مادر فرد فوت شده هر کدام یک ششم را به ارث می برند [Holy Qur"an 4:11]
و دو دختر دو سوم میراث به ارث می برند [Holy Qur"an 4:11]
بنابراین مجموع می شود:
27/24=3/24 + 4/24 + 4/24 + 16/24 =1/8 + 1/6 + 1/6 + 2/3 

این به این معنی است که ارث همسر به علت افزایش تعداد وارثان کمتر از یک هشتم می شود
پس آن یک هشتمی که قرار شد به همسر داده شود تبدیل به یک نهم می شود
یعنی سه قسمت از 27 قسمت که میشه یک نهم

این دوتا مسئله ای که بالا نوشتم هر دو از همون وبلاگ بود. و حالا توضیحات من:

در واقع هر دو این مسئله ها از یک نوع هستن. اشتباه رایجی که ذهن ما انجام میده اینه که انتطار داره وقتی ما چیزی رو بین تعدادی نفر تقسیم میکنیم. باید این تقسیمات جوری باشد که حاصل جمع 1 شود مثلا یک دهم به یک نفر 3. به یک نفر و 6. به یک نفر دیگه بدیم. حالا اگه تقسیمات طوری بود که حاصل جمع یک نشد باید چی کار کنیم. در مثال اول

1/2+1/3+1/9=17/18

و در مثال دوم

2/3+1/6+1/6+1/8=27/24

تکنیک حل خیلی ساده س. تنها کاری که باید انجام بدیم اینه که این اعداد رو به یک تبدیل کنیم.

18/17*(1/2+1/3+1/9)=1

حالا بر این اساس سهمیه افراد تعیین میشه.مثلا در مثال اول سهم پسرها به ترتیب میشه:

18/17*1/2=9/17

18/17*1/3=6/17

18/17*1/9=2/17

و در مسئله دوم داریم:

24/27*(2/3+1/6+1/6+1/8)=1

بنابراین سهم همسر فرد میشه:

24/27*1/8=3/27=1/9

به نظر میرسه مسئله اول ساختگی باشه.ببینید با همین تکنیک گفته شده در بالا من هم میتونم به راحتی مسئله خوب بسازم.

شخصی n تا گوسفند داره . میخواد بین سه پسرش تقسیم کنه که به یک پسرش 1/5 به پسر دیگش 1/11  وبه پسر دیگش 1/17  برسه حالا داریم.

1/5+1/11+1/17=327/935

بنا براین کافیه به هر کدوم از پسرها به ترتیب:

(935/327)*1/5=187/327

 

(935/327)*1/11=85/327

(935/327)*1/17=55/327

حالا n گفته شده رو قرار میدم 327 و مسئله رودوباره مطرح میکنم:

شخصی 327 تا گوسفند داره . میخواد بین سه پسرش تقسیم کنه که به یک پسرش 1/5 به پسر دیگش 1/11  وبه پسر دیگش 1/17  برسه. این مسئله هم مثل سوال اول هستش تازه سخت تر هم هست!!!

بعد یه نفر بیاد این سوال رو اینجوری حل کنه که بگه من خودم 608 عدد گوسفند رو به تعداد گوسفند های شما اضافه میکنم

حالا تعداد گوسفند ها میشه 935، یک پنجم 935 تا میشه 187 تا که به یکی از پسرها میدم بعد یک یازدهم 935 میشه 85 تا به یه پسر دیگه میدم و بعدش یک هفدهم 935 تا یعنی 55 تا رو به یه پسر دیگه میدم. که مجموع این تعداد گوسفندی که دادم میشه 327 تا بعد 608 تا گوسفندی رو که اضافه کرده بودم دوباره بر میدارم.

به نظر میرسه طراح سوال اول همون کاری رو کرده که من اینجا انجام دادم.

 

در ضمن آدم های بزرگ خودشون به اندازه کافی بزرگ هستن لازم نیست آدمای کوچیک سوالهایی که تو ذهن خودشون بزرگه رو،  حل کنن و به اون آدمهای بزرگ منسوب کنن تا برای اونها اعتبار بدن.

گاهی دیدم ادمهایی رو که یه حرف میزنن فکر میکنن خیلی حرف مهمیه برای اینکه بقیه هم بیشتر به این حرف اهمیت بدن مثلا میگن این حرف رو کریستف کلمب!!! گفته.

توضیح: این مطلب رو قبلا تو اون یکی و بلاگم نوشته بودم. که چون این بحث امروز یه جای دیگه هم مطرح شده بود و دیدمش دوباره اینجا بازنشرش میکنم.

فرض کنید که میخوایید در مورد انتخاب یک مورد از چند مورد مطرح شده از مردم رای گیری کنید (مثلا انتخابات ریاست جمهوری)در یک کشوری که 100 میلیون نفر جمعیت داره.

فرض کنید ما یک جامعه آماری 1000 نفری از جمعیت این کشور رو به صورت کاملا تصادفی انتخاب میکنیم و می بینیم که از این 1000 نفر 60 درصد یعنی 600 نفر به گزینه الف رای میدن.
سوال: چقدر احتمال داره که در روز رای گیری گزینه الف بتونه بین 57 تا 63 درصد آرا رو کسب کنه؟(یعنی نتیجه نظر سنجی با حداکثر 3 درصد خطا معتبر باشه)

گفتم : خسته ام

گفتی: لاتقنطوا من رحمة الله
.:: از رحمت خدا نا امید نشید (زمر/۵۳) ::.

گفتم: هیشکی نمی‌دونه تو دلم چی می‌گذره.
گفتی: ان الله یحول بین المرء و قلبه
.:: خدا حائل هست بین انسان و قلبش! (انفال/۲۴) ::.

گفتم: غیر از تو کسی رو ندارم.
گفتی: نحن اقرب الیه من حبل الورید
.:: ما از رگ گردن به انسان نزدیک‌تریم (ق/۱۶) ::.

گفتم: ولی انگار اصلا منو فراموش کردی!
گفتی: فاذکرونی اذکرکم
.:: منو یاد کنید تا یاد شما باشم (بقره/۱۵۲) ::.

گفتم: تا کی باید صبر کرد؟
گفتی: و ما یدریک لعل الساعة تکون قریبا
.:: تو چه می‌دونی! شاید موعدش نزدیک باشه (احزاب/۶۳) ::.

گفتم: تو بزرگی و نزدیکیت برای منِ کوچیک خیلی دوره! تا اون موقع چیکار کنم؟
گفتی: واتبع ما یوحی الیک واصبر حتی یحکم الل
.:: کارایی که بهت گفتم انجام بده و صبر کن تا خدا خودش حکم کنه (یونس/۱۰۹) ::.

گفتم: خیلی خونسردی! تو خدایی و صبور! من بنده‌ات هستم و ظرف صبرم کوچیک… یه اشاره‌ کنی تمومه!
گفتی: عسی ان تحبوا شیئا و هو شر لکم
.:: شاید چیزی که تو دوست داری، به صلاحت نباشه (بقره/۲۱۶) ::.

گفتم: انا عبدک الضعیف الذلیل… اصلا چطور دلت میاد؟
گفتی: ان الله بالناس لرئوف رحیم
.:: خدا نسبت به همه‌ی مردم – نسبت به همه – مهربونه (بقره/۱۴۳) ::.

گفتم: دلم گرفته.
گفتی: بفضل الله و برحمته فبذلک فلیفرحوا
.:: (مردم به چی دلخوش کردن؟!) باید به فضل و رحمت خدا شاد باشن (یونس/۵۸) ::.

گفتم: اصلا بی‌خیال! توکلت علی الله.
گفتی: ان الله یحب المتوکلین
.:: خدا اونایی رو که توکل می‌کنن دوست داره (آل عمران/۱۵۹) ::.

گفتم: خیلی چاکریم!
ولی این بار، انگار گفتی: حواست رو خوب جمع کن! یادت باشه که:
و من الناس من یعبد الله علی حرف فان اصابه خیر اطمأن به و ان اصابته فتنة انقلب علی وجهه خسر الدنیا و الآخره
.:: بعضی از مردم خدا رو فقط به زبون عبادت می‌کنن. اگه خیری بهشون برسه، امن و آرامش پیدا می‌کنن و اگه بلایی سرشون بیاد تا امتحان شن، رو گردون میشن. خودشون تو دنیا و آخرت ضرر می‌کنن (حج/۱۱) ::.

گفتم: چقدر احساس تنهایی می‌کنم.
گفتی: فانی قریب
.:: من که نزدیکم (بقره/۱۸۶) ::.

گفتم: تو همیشه نزدیکی؛ من دورم… کاش می‌شد بهت نزدیک شم.
گفتی: و اذکر ربک فی نفسک تضرعا و خیفة و دون الجهر من القول بالغدو و الأصال
.:: هر صبح و عصر، پروردگارت رو پیش خودت، با خوف و تضرع، و با صدای آهسته یاد کن (اعراف/۲۰۵) ::.

گفتم: این هم توفیق می‌خواهد!
گفتی: ألا تحبون ان یغفرالله لکم
.:: دوست ندارید خدا ببخشدتون؟! (نور/۲۲) ::.

گفتم: معلومه که دوست دارم منو ببخشی.
گفتی: و استغفروا ربکم ثم توبوا الیه
.:: پس از خدا بخواید ببخشدتون و بعد توبه کنید (هود/۹۰) ::.

گفتم: با این همه گناه… آخه چیکار می‌تونم بکنم؟
گفتی: الم یعلموا ان الله هو یقبل التوبة عن عباده
.:: مگه نمی‌دونید خداست که توبه رو از بنده‌هاش قبول می‌کنه؟! (توبه/۱۰۴) ::.

گفتم: دیگه روی توبه ندارم.
گفتی: الله العزیز العلیم غافر الذنب و قابل التوب
.:: (ولی) خدا عزیزه و دانا، او آمرزنده‌ی گناه هست و پذیرنده‌ی توبه (غافر/۲-۳) ::.

گفتم: با این همه گناه، برای کدوم گناهم توبه کنم؟
گفتی: ان الله یغفر الذنوب جمیعا
.:: خدا همه‌ی گناه‌ها رو می‌بخشه (زمر/۵۳) ::.

گفتم: یعنی بازم بیام؟ بازم منو می‌بخشی؟
گفتی: و من یغفر الذنوب الا الله
.:: به جز خدا کیه که گناهان رو ببخشه؟ (آل عمران/۱۳۵) ::.

گفتم: نمی‌دونم چرا همیشه در مقابل این کلامت کم میارم! آتیشم می‌زنه؛ ذوبم می‌کنه؛ عاشق می‌شم! … توبه می‌کنم: یا غافر الذنب، اغفر ذنوبی جمیعا
گفتی: ان الله یحب التوابین و یحب المتطهرین
.:: خدا هم توبه‌کننده‌ها و هم اونایی که پاک هستند رو دوست داره (بقره/۲۲۲) ::.

ناخواسته گفتم: الهی و ربی من لی غیرک
گفتی: الیس الله بکاف عبده
.:: خدا برای بنده‌اش کافی نیست؟ (زمر/۳۶) ::.

گفتم: در برابر این همه مهربونیت چیکار می‌تونم بکنم؟
گفتی: یا ایها الذین آمنوا اذکروا الله ذکرا کثیرا و سبحوه بکرة و اصیلا هو الذی یصلی علیکم و ملائکته لیخرجکم من الظلمت الی النور و کان بالمؤمنین رحیما
.:: ای مؤمنین! خدا رو زیاد یاد کنید و صبح و شب تسبیحش کنید. او کسی هست که خودش و فرشته‌هاش بر شما درود و رحمت می‌فرستن تا شما رو از تاریکی‌ها به سوی روشنایی بیرون بیارن. خدا نسبت به مؤمنین مهربونه (احزاب/41-43)

منبع من اینجا است.متاسفانه ایشون اعلام نکرده که متن رو از کجا آوورده.یادم باشه بعدن در مورد فرهنگ رفرنس دهی هم بنویسم.

من از دیروز برای ورود به جیمیل مشکل دارم.الآن از دوستانم تو تهران پرسیدم اونا مشکلی نداشتن. کسی میدونه علتش چیه؟ ممکنه مشکل از شرکت ارائه دهنده اینترنتم باشه؟

با توجه به اینکه خیلی از میلم استفاده میکنم این مشکل واقعا برام کلافه کننداس.

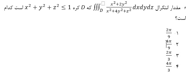
من برای سوال پایین هیچ راه حل مستقیمی بلد نیستم(اگرم وجود داشته باشه باید خیلی سخت باشه) اما به روش غیر مستقیم (که شاید بهش بشه گفت تستی) میشه خیلی راحت این سوال رو حل کرد.

کسی میتونه یه راه حل مستقیم بر مبنای انتگرال گیری برای این سوال ارائه بده.(جواب گزینه 3 هست).این سوال هم ماله کارشناسی ارشد ریاضی سال 91 هست.

2 تا سوال ریاضی عمومی دیگه از کنکور کارشناسی ارشد ریاضی سال 91 میزارم. هر دو سوال رو میشه هم به روش تستی و هم به روش تشریحی حل کرد. (به خصوص اینکه با روش تستی میشه در هر دو سوال خیلی سریع حداقل 2 گزینه رو حذف کرد) هر دو سوال، سوال های نسبتا سختی هستن . طبق معمول جواب ها رو در یکی 2 روز آینده تو ادامه همین مطلب میزارم.

علیرضا مقتدایی مدیرکل آمارهای اقتصادی بانک مرکزی هست. ایشون طی مصاحبه اش بارها و بارها بر علمی بودن مطالب تاکید میکنه  .از جمله میگه:

"اما بنده معتقدم کسانی که چنین ادعاهایی دارند یا نحوه محاسبه نرخ تورم را نمی‌دانند یا اگر می‌دانند قصد دارند بی‌دلیل بر آمار و ارقام اعلام شده خدشه وارد کنند"

"تورم یک مقوله محاسباتی است. روش‌های استانداردی هم برای محاسبه آن تبیین و طراحی شده که در صورت عدول از آن ساختار محاسبه و اعتبار آن مخدوش می‌شود."

"نحوه محاسبه نرخ تورم در بانک مرکزی جمهوری اسلامی نیز بر اساس همان روش علمی و کارشناسی شاخص تورم است"

و در ادامه  میگه:

"من خواهشم از رسانه‌ها این است که در این مقوله خیلی دقت کنند.  وظیفه آنها در این وادی خیلی مهم است. رسانه‌ها برای افکار عمومی روشن کنند پدیده‌هایی را که قابل اندازه‌گیری هستند را در حوزه احساس وارد نکنند. همین مقوله‌ای که شما از آن به عنوان تفاوت نام بردید نمونه‌ای از این ادعاست. برای مثال بنده از شما می‌پرسم طول این اتاق چقدر است؟ شما یک عددی را به صورت تقریبی حدس می‌زنید، مثلاً هفت متر. اما وقتی با متر و به صورت فنی اندازه‌گیری می‌کنید متوجه می‌شوید با عدد حدسی شما تفاوت دارد. شما کدام را قبول می‌کنید عدد حدسی یا عدد منتج از وسیله اندازه‌گیری؟ بنابراین معیار اندازه‌گیری ممکن است با احساس متفاوت باشد. به این نکته توجه کنید که اصولاً در ذهن ما از لحاظ روانی کالایی که گران شده نمود بیشتری پیدا می‌کند یا کالایی که ارزان شده است؟ به عنوان مثال در هنگام تهیه بلیت هواپیما هنگامی که مشاهده می‌شود قیمت بلیت از 100هزار تومان به 200هزار تومان رسیده، در این حالت می‌گویند ببینید تورم چقدر زیاد شده و.... اما وقتی فرد مورد نظر برای خرید کالای دیگری مثلاً میوه به مغازه می‌رود و قیمت میوه ثبات داشته است ذهنش از این ثبات قیمت عبور می‌کند و فقط افزایش قیمت را در ذهن خود مرور می‌کند. بنابراین با ملاحظات مذکور می‌توان نتیجه گرفت تفاوت احساس با آمار رسمی یک مسئله کاملاً طبیعی است،چراکه انسان‌ها برای رسیدن به حداکثر مطلوبیت، نیاز دارند که توانایی تامین اقلام مورد نیاز خود را داشته باشند و زمانی که با ناتوانی تامین نیاز‌ها مواجه می‌شوند به مرور به حذف کالاهای گران شده از الگوی مصرف خود می‌پردازند و حذف اولین کالای گران شده احساس تورم بیش از عدد اعلام شده را به‌وجود می‌آورد. از طرف دیگر آشنایی با مفهوم میانگین موزون و محاسبات تورم دلیل مهم دیگری است که باعث این اختلاف می‌شود. فرض کنید قیمت کالایی در دی ماه سال 89 برابر 5 هزار ریال باشد، در دی ماه سال 90 10 هزار ریال برسد و همین کالا در دی ماه سال 91 به 15 هزار ریال افزایش پیدا کند. به نظرشما با یک حساب سر انگشتی قیمت این کالا چقدر افزایش داشته است؟
 
اگر بخواهیم سرانگشتی حساب کنیم حول و حوش 200 درصد درست است؟
 قیمت سه برابر شده و رشد قیمت طی دو سال 200 درصد. اما از لحاظ محاسبات نرخ تورم رشد قیمت کالا 66 درصد در سال می‌شود نه 200درصد، چراکه این قیمت به صورت بطئی تغییر نموده است و یک سیر قیمت از 5 هزار ریال تا 15 هزار ریال را طی دو سال پیموده است و باید با استفاده از مفهوم میانگین پاسخ را اصلاح نمود. در این مثال متوسط قیمت در سال اول 7500 ریال و متوسط قیمت در سال دوم 12500 است که از حاصل تقسیم 12500 به 7500 عدد 66 درصد رشد سالانه به دست می‌آید. منظورم این است محاسبه به این سادگی نیست. اینجا افتراق بین محاسبات سرانگشتی و محاسبات دقیق نمایان می‌شود."

در واقع منظورش از اون قسمت که بولد کردم اینه که، اختلاف 12500و7500 میشه 5000 که اگه ما 5000 رو بر 7500 تقسیم و ضربدر 100 کنیم عدد 66 درصد به دست میاد.

اما مشکل کار کجاست.

فرض کنید که قیمت کالایی در ابتدا k ودر انتهای سال اول m و در انتهای سال دوم  n باشد. طبق محاسبات ایشون متوسط قیمت در طول سال اول میشه k+m)/2) و متو سط قیمت تو سال دوم میشه n+m)/2) و اختلاف این دو عدد میشه n-k)/2) ومقدار تورم برابر میشه با:

(n-k)/(k+m)

فرمول بالا به وضوح نشون میده که اگه m رو ماتغییر بدیم تورم سالانه بالا یا پایین میشه مثلا اگر قیمت ابتدایی کالایی 5000 تومان و قیمت همان کالا بعد از 2 سال 15000 تومان بشه، بسته به اینه که قیمت ها در آخر سال اول چقدر باشه متوسط تورم تغییر میکنه یعنی اگر مثلا قیمت آخر سال اول صفر تومن باشه تورمی که به دست میاد میشه سالانه 200 درصد که کاملا غلط هست و اگه قیمت آخر سال اول خیلی خیلی زیاد باشه تورم خیلی کم میشه. برای اینکه راحت تر متوجه منظورم بشید همین مثال این آقای مقتدایی رو بررسی میکنیم ایشون کالایی رو مثال زده که قیمت پایه اش 5000 بوده سال اول میشه 10000 و سال دوم میشه 15000 و گفته تورم سالانه 66 درصد بوده در حالیکه اگه ما تورم 66 درصد رو برای 2 سال اعمال کنیم قیمت این کالا باید بشه:

5000*(1+.66)^2=13800

که این عدد از عدد واقعی 15000 تومن کمتر هست. روش درست محاسبه اینه که ما باید از میانگین هندسی به جای میانگین حسابی استفاده کنیم (موضوعی که تقریبا در هر کتاب پایه مدیریت مالی پیدا میشه) و متوسط تورم رو به شکل زیر باید به دست بیاریم:

 5000*(1+r)^2=15000

(1+r)^2=3

1+r=1.73

r=73%

در واقع متوسط تورم سالانه 73 درصد میشه نه 66 درصد.تازه تو این مثال اوضاع خوبه اگه قیمت تو انتهای سال اول خیلی کم مثلا 100 تومن بود یا خیلی زیاد مثلا 100000 تومن بود، نتیجه ای که با فرمول ایشون به دست میومد تقریبا فاجعه بار میشه.

پ ن: بعضی از مطالب داخل این پست رو حذف کردم


یک سوال دیگه از کنکور کارشناسی ارشد ریاضی سال 91 میزارم. البته دیگه این سوالها رو به سختی و آسونیشون توجه نمیکنم، چون به غیر از اون سوال اول که گذاشتم بقیه سوالات تقریبا تو یه رنج قرار دارن. اگه شما هم سوالی از کارشناسی ارشد دارید که فکر می کنید سوال خوبی هست، سوال رو واسم ایمیل کنید تا من جوابش رو رو وبلاگ بزارم. البته فقط سوال تستی همراه با گزینه ها رو بفرستید و مشخص کنید مربوط به کدوم آزمون و مربوط به چه سالی است.

این سوال زیر رو میتونید با استفاده فرمول استرلینگ (من این فرمول رو داخل همه کلاس های ریاضی 2 میگم) حل کنید. البته بدون استفاده از فرمول استرلینگ و با کمی دقت هم میتونید سوال رو حل کنید. من تا فردا یا پس فردا جواب سوال رو زیر همین مطلب توی ادامه مطالب میزارم.

کتاب اسرار آل محمد صلی الله علیه وآله وسلم نوشته سلیم ین قیس هلالی رو میتونید از اینجا دانلود کنید.

امام صادق علیه السّلام درباره آن می گوید: «هر کس از شیعیان و دوستان ما کتاب سلیم بن قیس را نداشته باشد، چیزی از مسائل ولایت ما نزد او نیست و از اسباب ما آگاهی ندارد. این کتاب الفبای شیعه و سرّی از اسرار آل محمد صلی الله علیه و آله و سلم است. »
زندگینامه سلیم بن قیس هلالی کوفی:
مولّف از خواصّ اصحاب امام علی علیه السّلام و امام حسن و حسین علیهما السّلام و امام زین العابدین علیه السّلام بوده است. او دو سال قبل از هجرت به دنیا آمده بود و در هنگام رحلت پیامبر صلی الله علیه و آله و سلم دوازده سال داشته است. او در پیشگاه معصومین علیهم السّلام مورد وثوق بوده و از علوم سرشار آنها بهره مند شده و از قدمای علمای پیرو اهل بیت و بزرگان اصحاب ائمه علیهم السّلام محسوب می شود و نزد آنان محبوبیّت خاصی داشته است و از ائمه علیهم السلام روایات زیادی نقل کرده است. او در همة اتفاقات و حوادث در کنار حضرت علی علیه السّلام بوده و عضو گروه شرطة الخمیس بوده، و در زمان حجاج یوسف در سال 76 هجری قمری درگذشت.
شهرت سلیم به خاطر این کتاب که با نام های، اصل سلیم، کتاب سلیم و ترجمة آن، اسرار آل محمد، ذکر شده می باشد.

معرفی اجمالی کتاب:

کتاب حاضر اولین کتاب شیعه در زمان امیر المؤمنین علیه السّلام بوده که امام صادق علیه السّلام درباره آن می گوید: «هر کس از شیعیان و دوستان ما کتاب سلیم بن قیس را نداشته باشد، چیزی از مسائل ولایت ما نزد او نیست و از اسباب ما آگاهی ندارد. این کتاب الفبای شیعه و سرّی از اسرار آل محمد صلی الله علیه و آله و سلم است.
امام سجّاد علیه السّلام نیز می فرماید: سلیم راست گفته است، خدا او را رحمت کند همة این احادیث از ماست و از آنها خبر داریم. و چندین حدیث دیگر که همگی در تأیید وثاقت کتاب و سلیم بن قیس وارد شده است. سلیم این کتاب را در طول شصت سال از عمرش به رشته تحریر در آورده است.
موضوع کتاب دربارة فضائل اهل بیت از زبان پیامبر اکرم صلّی الله علیه و آله و حوادث بعد از آن حضرت به نقل از شاهدان عینی مثل ماجرای سقیفه از زبان سلمان فارسی و افتخارات و امتیازات علی علیه السّلام و حوادث دوران خلافت آن حضرت و بسیاری از مباحث عقیدتی و تاریخی می باشد.

من بخش های ابتدایی این کتاب رو خوندم، چیزی که جالب بود دفاع سرسختانه زبیر از امام علی علیه السلام در جریان جانشینی پیامبر بود.حتی بیشتر از سلمان و ابوذر و مقداد در دفاع از امام علی علیه السلام تلاش میکرد.

سرنوشت بازی جالبی داره، فردی مثل زبیر در نهایت به دشمن امام علی علیه السلام تبدیل میشه علی رغم اون سابقه درخشان در اسلام که پیامبر  صلی الله علیه وآله وسلم بهش لقب سیف الاسلام داده بود و در عوض زهیر بن قین با اینکه عثمانی مسلک بود در روزهای آخر عمرش به یکی از طرفداران سر سخت امام حسین تبدیل میشه